menyediakan contoh format surat melamar pekerjaan, undangan pernikahan, resign, kop surat dinas, surat desa, surat perjanjian kerja, surat akta, dan lainlain.
Home » Uncategories » Download folio bergaris contoh surat lamaran kerja tulis tangan pabrik
Download folio bergaris contoh surat lamaran kerja tulis tangan pabrik
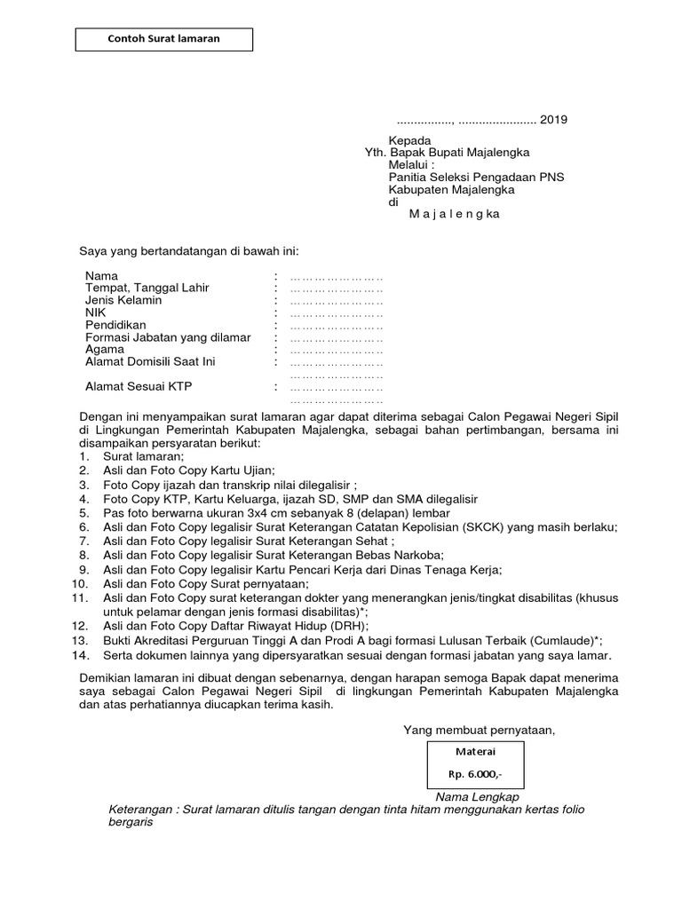
Download folio bergaris contoh surat lamaran kerja tulis tangan pabrik. Gunakan kertas folio bergaris dan buat serapi mungkin. Sangat disarankan untuk menulis surat lamaran kerja yang ditulis dengan tangan di kertas folio bergaris.
Contoh Surat Lamaran Kerja Di Folio Bergaris Kumpulan Contoh Gambar from taldebrooklyn.com Untuk umum, tulis tangan, di pabrik, di pt sebagai karyawan yang baik dan benar. Berikut adalah contoh isi surat lamaran kerja tulis tangan: Kalian pasti pernah menjumpai banyak lamaran kerja termasuk cnps dan juga perusahaan lain atau bahkan toko toko tertentu meminta surat lamaran kerja di tulis tangan.
Jika kertas folio (buat margin kiri dengan jarak 1,5 cm dan margin kanan 1 cm).
Accounting staff adalah istilah dalam bahasa inggris untuk profesi staf akunting atau keuangan. 4 point penting membuat surat lamaran kerja tulis tangan beserta contohnya. Contoh surat lamaran kerja perusahaan swasta sebagai spg. Setelah menemukan lowongan yang sesuai dengan keinginan dan kemampuan anda, maka bisa mengirimkan lamaran.
0 Response to "Download folio bergaris contoh surat lamaran kerja tulis tangan pabrik"
0 Response to "Download folio bergaris contoh surat lamaran kerja tulis tangan pabrik"
Posting Komentar